Klassifizierung
Hersteller
EClass
ohne die Begriffe:
Macherey-Nagel 

OPTIMA® 624 Kapillarsäulen für die GC

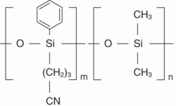
6 % Cyanopropyl-phenyl - 94 % Dimethylpolysiloxan

mittelpolare Phase
empfohlen für die Umweltanalytik
USP G43
ähnliche Phasen: HP-624, HP-VOC, DB-624, DB-VRX, SPB-624, CP-624, Rtx-624, Rtx-Volatiles, 007-624, BP624, VOCOL

max. Temperatur für isotherme Arbeitsweise 280 °C, max. Temperatur für kurze Isothermen in einem Temperaturprogramm 300 °C
Temperatur Max. Isotherme:280 °C
Max. Temperatur Temperaturprogramm:300 °C
OPTIMA® 624 Kapillarsäulen für die GC


OPTIMA® 624 Kapillarsäulen für die GC
Material SäuleUSP EinstufungPolaritätFilmdicke
µm
Ø innen
mm
Länge
m
Menge
pro VE
Bestell Nr. 
QuarzglasG43mittelpolar1,40,253014003211
QuarzglasG43mittelpolar1,40,255014003212
QuarzglasG43mittelpolar1,40,256014003213
QuarzglasG43mittelpolar1,80,253014003217
QuarzglasG43mittelpolar1,80,325014003218
QuarzglasG43mittelpolar1,80,326014003219
QuarzglasG43mittelpolar30,532514003220
QuarzglasG43mittelpolar30,533014003221
Säulen nach Kundenspezifikation auf Anfrage erhältlich.
Jede Säule wird einzeln getestet und mit Prüfzertifikat und Testchromatogramm, aber ohne Anschlussfittings oder Ferrules ausgeliefert. Alle Säulen sind an den Enden zugeschmolzen oder mit Septa verschlossen und so gegen Eindringen von Sauerstoff geschützt.
Zusätzlich liegt die j